-
-
Notifications
You must be signed in to change notification settings - Fork 744
Open
Labels
enhancementImprove existing functionality or make things work betterImprove existing functionality or make things work bettertestsUnit tests and/or continuous integrationUnit tests and/or continuous integration
Description
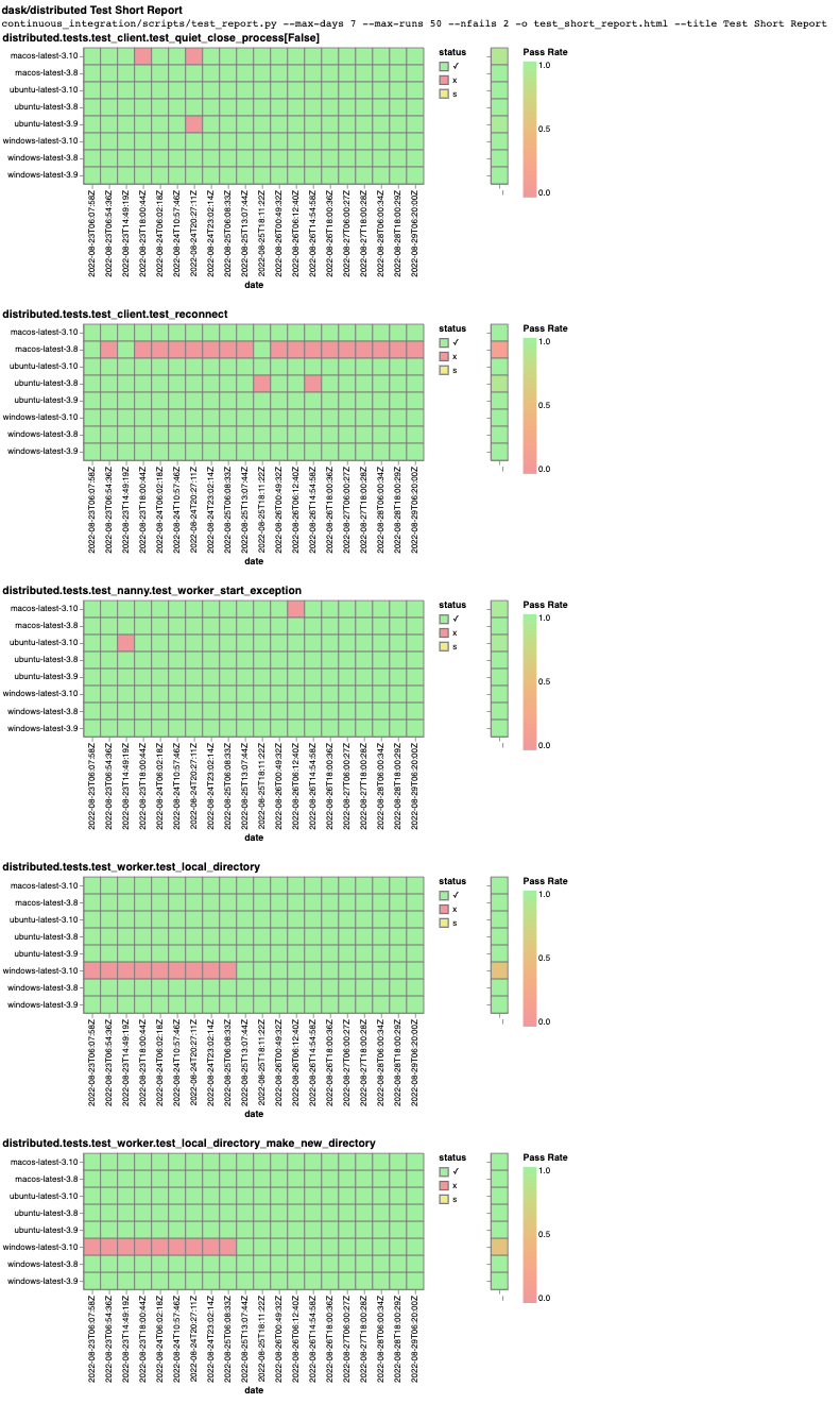
Currently, the short test report dashboard shows 5 recently failing tests on main.
But 3 of those should already be fixed, and as you can see, they're all green in more recent runs:
- Fix
test_local_directoryandtest_local_directory_make_new_directoryon Windows #6954 - Ignore spurious warnings in test_quiet_close_process #6955
It would be nice if there was a way for a PR to instruct the test dashboard that a test is expected to be fixed, and hide it immediately (as long as it's all green subsequent to that PR). Then, the dashboard would more accurately reflect the latest status of what tests are flaky. Or, if an expected-fixed test failed, it could highlight prominently that the fix didn't work.
Current dashboard, for reference:
Metadata
Metadata
Assignees
Labels
enhancementImprove existing functionality or make things work betterImprove existing functionality or make things work bettertestsUnit tests and/or continuous integrationUnit tests and/or continuous integration
