-
Notifications
You must be signed in to change notification settings - Fork 0
Open
Description
Get a quick overview of what we are dealing with in our dataset
Move the reponse variable "turnover" to the front of the table
Check the type of our features.
Display the statistical overview of the employees
Overview of summary (Turnover V.S. Non-turnover)
Correlation Matrix
Heatmap
Graph Employee Satisfaction
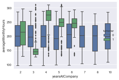
Let’s have a look at boxplot of years at company vs average monthly hours
Let’s have a look at lmplot satisfaction vs evaluation and print regression line
Metadata
Metadata
Assignees
Labels
No labels









