This repository was archived by the owner on Jun 27, 2025. It is now read-only.
-
Notifications
You must be signed in to change notification settings - Fork 0
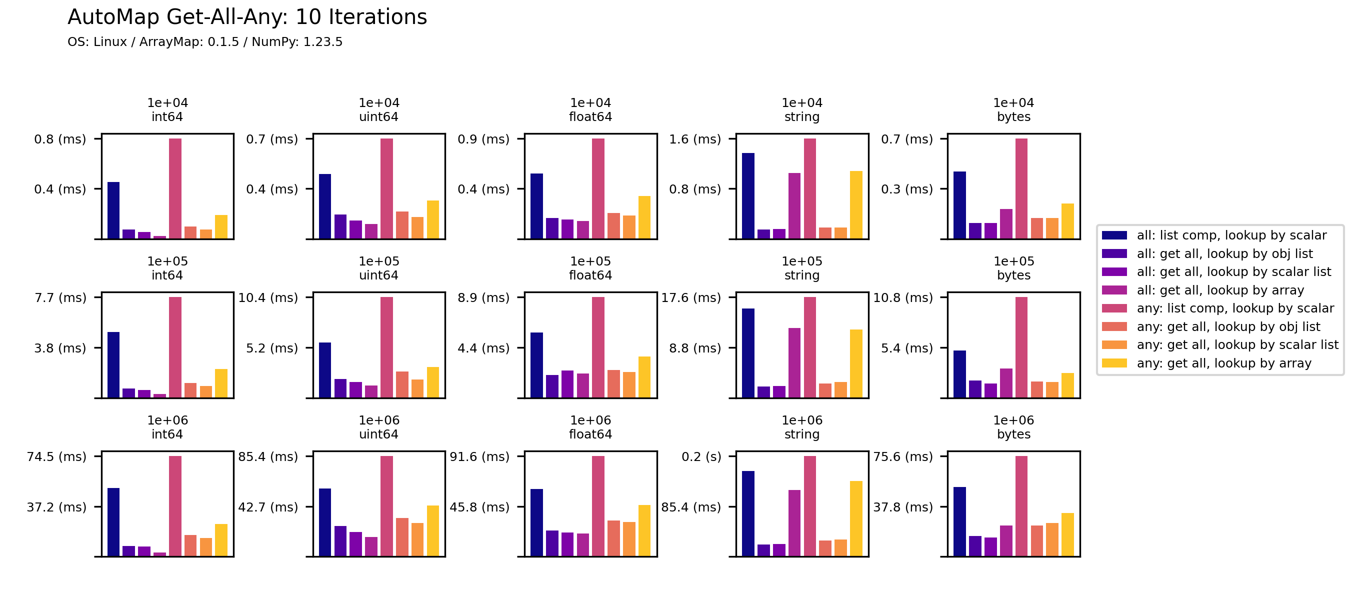
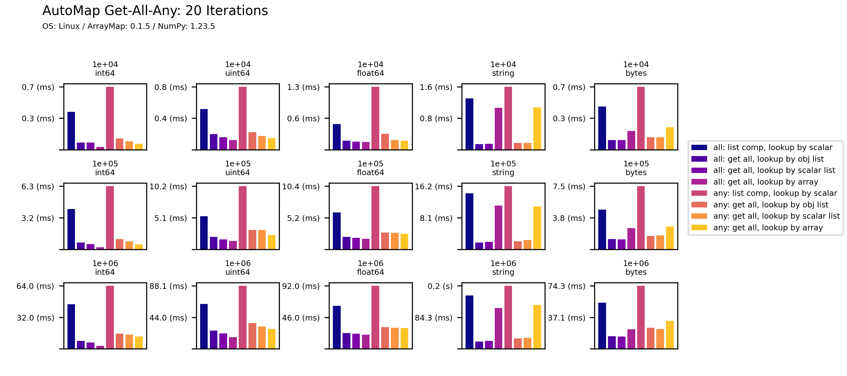
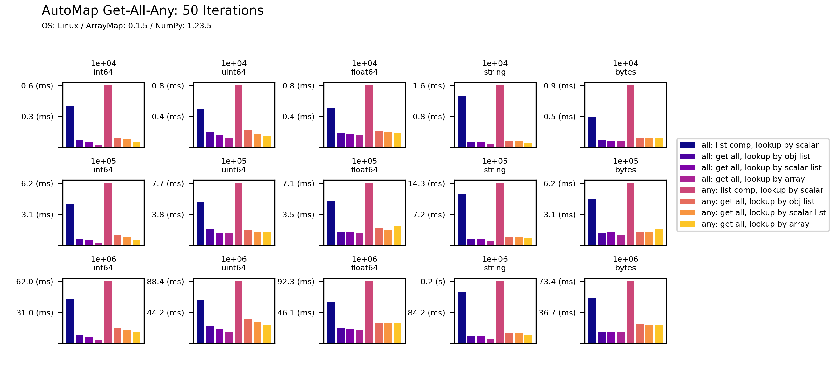
get_all(), get_any() for selection by iterable, array
#11
Merged
Conversation
This file contains hidden or bidirectional Unicode text that may be interpreted or compiled differently than what appears below. To review, open the file in an editor that reveals hidden Unicode characters.
Learn more about bidirectional Unicode characters
get_many for selection by iterable, arrayget_many() for selection by iterable, array
get_many() for selection by iterable, arrayget_all(), get_any() for selection by iterable, array
Collaborator
Author
Collaborator
Author
Collaborator
Author
Collaborator
Author
|
@chaburkland : if you have some time to look over this I would appreciate it! |
Collaborator
Author
Collaborator
Author
|
@chaburkland : I need to merge this in to work on dt64 support; happy to have your feedback later if you get to it! |
Sign up for free
to subscribe to this conversation on GitHub.
Already have an account?
Sign in.
Add this suggestion to a batch that can be applied as a single commit.
This suggestion is invalid because no changes were made to the code.
Suggestions cannot be applied while the pull request is closed.
Suggestions cannot be applied while viewing a subset of changes.
Only one suggestion per line can be applied in a batch.
Add this suggestion to a batch that can be applied as a single commit.
Applying suggestions on deleted lines is not supported.
You must change the existing code in this line in order to create a valid suggestion.
Outdated suggestions cannot be applied.
This suggestion has been applied or marked resolved.
Suggestions cannot be applied from pending reviews.
Suggestions cannot be applied on multi-line comments.
Suggestions cannot be applied while the pull request is queued to merge.
Suggestion cannot be applied right now. Please check back later.




No description provided.