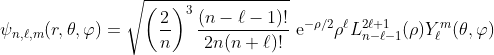
Visualization of Hydrogen wave functions given by the equation
This can lead to some interesting visualizations as seen below, however best viewed in 3D.
To download packages
pip install pipenv
pipenv install
Plots are easily generated by:
plot_kwargs = {
"opacity": 1,
"colorscale": "plasma",
"marker_size": 2,
"theme": "plotly_dark",
}
wave = Hydrogen_Wave()
wave.set_quantum_number(n=4, l=2, m=2)
wave.generate_data(n_points=600000, low=-35, high=35)
wave.vizualise_wave(threshold=0.01, plot_kwargs=plot_kwargs)


