Given the root of a binary tree, determine if it is a valid binary search tree (BST).
A valid BST is defined as follows:
- The left subtree of a node contains only nodes with keys less than the node's key.
- The right subtree of a node contains only nodes with keys greater than the node's key.
- Both the left and right subtrees must also be binary search trees.
Example 1:
Input: root = [2,1,3]
Output: true
Example 2:
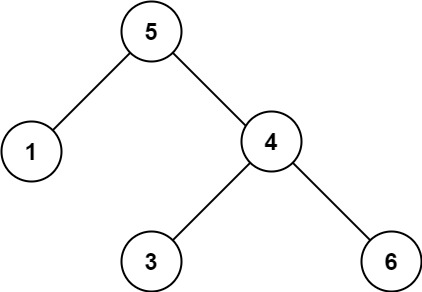
Input: root = [5,1,4,null,null,3,6]
Output: false
Explanation: The root node's value is 5 but its right child's value is 4.
Constraints:
- The number of nodes in the tree is in the range
[1, 104]. 231 <= Node.val <= 231 - 1
題目給定一個二元樹的根結點 root
想要判斷這個由 root 所形成的樹是不是一棵二元搜尋樹
如果 root 所形成的樹是一個二元搜尋樹有以下特性
- root.Left 所形成的樹內所有結點值都小於 root.Val
- root.Right 所形成的樹內所有結點值都大於 root.Val
- root.Left 與 root.Right 所形成的樹都是二元搜尋樹
最直覺的想法
每次遇到一個結點
檢查這個結點的左子樹有沒有都小於這個 root 結點
檢查這個結點的右子樹有沒有都大於這個 root 結點
這樣每次都要走訪 n個 所以時間複雜度 是 O(
如果不想要每次都要走訪所有走過的結點則必須思考以下特性
對一個二元搜尋樹的某個結點 node
node.left 所形成樹的上界是 node.Val ,因為所有 node.Left 所形成結點都必須小於 node.Val
所以對於 node.Left 所形成樹 只要檢查是否都有小於 node.Val 即可
同樣的,node.Right 所形成樹的下界是 node.Val ,因為所有 node.Right 所形成結點都必須大於 node.Val
所以對於 node.Right 所形成樹 只要檢查是否都有大於 node.Val 即可
一開始的根結點 沒有上下界相當於 上界是 infinity , 下界是 -infinity
每次只要檢查目前結點有沒有介於上下界
每次往左結點走更新上界是目前結點
每次往右結點走更新下界是目前結點
class Solution {
/**
* Definition for a binary tree node.
* public class TreeNode {
* int val;
* TreeNode left;
* TreeNode right;
* TreeNode() {}
* TreeNode(int val) { this.val = val; }
* TreeNode(int val, TreeNode left, TreeNode right) {
* this.val = val;
* this.left = left;
* this.right = right;
* }
* }
*/
public boolean isValidBST(TreeNode root) {
if (root == null) {
return true;
}
return checkBST(root, Double.MAX_VALUE, -Double.MAX_VALUE);
}
public boolean checkBST(TreeNode root, double upperbound, double lowerbound) {
if (root == null) {
return true;
}
double cur = (double)(root.val);
if (cur >= upperbound || cur <= lowerbound) {
return false;
}
return checkBST(root.left, cur, lowerbound) && checkBST(root.right, upperbound, cur);
}
}- 理解二元搜尋樹的定義
- 透過理解二元搜尋樹的定義來減少檢查的範圍
- Understand what problem need to be solve
- Analysis Complexity


