Skip to content

brunoklein99/deep-learning-notes

Folders and files

NameName
Last commit message
Last commit date

Latest commit

 

History

113 Commits
 
 
 
 
 
 
 
 
 
 
 
 
 
 
 
 
 
 
 
 
 
 
 
 
 
 
 
 
 
 
 
 
 
 
 
 
 
 
 
 
 
 
 
 
 
 
 
 
 
 
 
 
 
 
 
 
 
 
 
 
 
 
 
 
 
 
 
 
 
 

Repository files navigation

2 Improving Deep Neural Networks: Hyperparameter tuning, Regularization and Optimization

2.1 Train / Dev / Test sets

Split dataset in 3 parts. Train on train set, choose model based on dev set and final check on train set.

dev and test set just need do be big enough to give a high confidence on model performance

Trainining on different distributions: For example, train with images downloaded from web (which may be professionaly taken) vs evaluating on images submitted by users (amateur photographers). In this case, make sure dev and test set are from amateur taken pictures, so at least our metric is trust worthy.

2.2 Bias / Variance

2.3 Basic Recipe for Machine Learning

  1. High bias (training data performance)?
  • Bigger Network

  • Train longer

  • NN architecture

  1. High variance (dev set performance)
  • More data

  • Regularization

  • NN architecture

2.3 Regularization (Weight Decay)

2.3.1 L2 Regularization

L2_regularization_cost = lambd * (np.sum(np.square(W1)) + np.sum(np.square(W2)) + np.sum(np.square(W3))) / (2 * m)

lambda is chosen based on dev set performance (hyperparameter)

2.3.2 Dropout

3.2.2.1 Inverted Dropout
keep_prob = 0.8
d3 = np.random.rand(a3.shape[0], a3.shape[1]) < keep_prob
a3 = a3 * d3
a3 = a3 / keep_prob # scale to expected value

2.3.3 Other regularization methods

2.3.3.1 Data augmenation

  • Random flip (horizontal / vertical)
  • Random crop
  • Random zoom
  • Random shift
  • Random distortions

2.3.3.2 Early stopping

2.3.4 Normalizing inputs


2.4 Exponentially weighted averages

2.5 Gradient descent with momentum

  • Purple = no momentum

  • Blue = with momentum

  • Red = with momentum with higher beta

Beta is usually 0.9

2.6 RMSprop (Root Mean Squared Prop)

2.7 Adam (Momentum + RMSProp)

2.8 Learning rate decay

  • Blue = no decay

  • Green = with decay

2.9 The problem of local optima (in high dimensional space)

  • Old intuition

  • Actual

  • Unlikely to get stuck in a bad local optima

  • Plateaus can make learning slow

2.10 Hyperparameter value search

  • Use random search
  • Do not use grid search

For instance:

Suppose hyperparameter 2 is not as relevant as hyperparameter 1. In the case of grid search, we are only trying 5 values of hyperparameter 1, whereas with random search we are trying several more.

2.11 Hyperparameter value scale

  • Not all hyperparameters should be sampled on uniform distribution

For instance:

In the case of learning rate, where a reasonable value could be in the range of [0.001, 1). If we were to sample uniformly, 90% of our values would be in the range [0.1, 1). Intead, we sample in log scale.

r  = -4 * np.random.rand() # r is [-4, 0]
lr = 10 ^ r

2.12 Batch Normalization

  • Speeds up learning
  • Like feature mean and std normalization, but for intermediate linearities or non linearities

  • Gamma and Beta are learnable parameters. They allow the mean to be non zero. They allow Z tilde to be the indentity function if need be.

3 Structuring Machine Learning Problems

3.1 Orthogonalization

Orthogonalization or orthogonality is a system design property that assures that modifying an instruction or a component of an algorithm will not create or propagate side effects to other components of the system. It becomes easier to verify the algorithms independently from one another, it reduces testing and development time.

When a supervised learning system is designed, these are the 4 assumptions that needs to be true and orthogonal.

  1. Fit training set well in cost function (~ Human level performance)
  • If it doesn’t fit well, the use of a bigger neural network or switching to a better optimization algorithm might help.
  1. Fit dev set well on cost function
  • If it doesn’t fit well, regularization or using bigger training set might help.
  1. Fit test set well on cost function
  • If it doesn’t fit well, the use of a bigger development set might help
  1. Performs well in real world
  • If it doesn’t perform well, the development test set is not set correctly or the cost function is not evaluating the right thing.

  • Early Stopping is not orthogonal, it interferes with all steps above.

3.2 Single number evaluation metric

To choose a classifier, a well-defined development set and an evaluation metric speed up the iteration process.

table1

  • Precision Of all the images we predicted y=1, what fraction of it have cats?

precision recall

f1

Algorithm US China India Other Average
A 3% 7% 5% 9% 6%
B 5% 6% 5% 10% 6.5%
C 2% 3% 4% 5% 3.5%
D 5% 8% 7% 2% 5.25%
E 4% 5% 2% 4% 3.75%
F 7% 11% 8% 12% 9.5%

3.3 Satisficing and optimizing metric

There are different metrics to evaluate the performance of a classifier, they are called evaluation matrices. They can be categorized as satisficing and optimizing matrices. It is important to note that the seevaluation matrices must be evaluated on a training set, a development set or on the test set.

Classifier Accuracy Running Time
A 90% 80ms
B 92% 95ms
C 95% 1500ms

In this case, accuracy and running time are the evaluation matrices. Accuracy is the optimizing metric, because you want the classifier to correctly detect a cat image as accuratelyas possible. The running timewhich is set to be under 100 ms in this example, is the satisficing metric which mean that the metrichas to meet expectation set.

3.4 Training, development and test distributions

Setting up the training, development and test sets have a huge impact on productivity. It is important to choose the development and test sets from the same distribution and it must be taken randomly from all the data. Choose a development set and test set to reflect data you expect to get in the future and consider important to do well.

3.5 Size of the development and test sets

  • Old way of splitting data

We had smaller data set therefore we had to use a greater percentage of data to develop and test ideas and models.

oldway1 oldway2

  • Modern era – Big data

Now, because a large amount of data is available, we don’t have to compromised as much and can use a greater portion to train the model.

newway1

  • Set up the size of the test set to give a high confidence in the overall performance of the system.
  • Test set helps evaluate the performance of the final classifier which could be less 30% of the whole data set.
  • The development set has to be big enough to evaluate different ideas.

3.6 When to change development/test sets and metrics

Example: Cat vs Non-cat

A cat classifier tries to find a great amount of cat images to show to cat loving users. The evaluation metric used is a classification error.

Algorithm Classification Error (%)
A 3%
B 5%

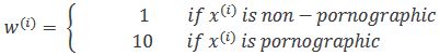
It seems that Algorithm A is better than Algorithm B since there is only a 3% error, however for some reason, Algorithm A is letting through a lot of the pornographic images. Algorithm B has 5% error thus it classifies fewer images but it doesn't have pornographic images. From a company's point of view, as well as from a user acceptance point of view, Algorithm B is actually a better algorithm. The evaluation metric fails to correctly rank order preferences between algorithms. The evaluation metric or the development set or test set should be changed.

The misclassification error metric can be written as a function as follow:

loss

This function counts up the number of misclassified examples.

The problem with this evaluation metric is that it treats pornographic vs non-pornographic images equally. On way to change this evaluation metric is to add the weight term 𝑤(𝑖) .

weight

The function becomes:

weight

  • Define correctly an evaluation metric that helps better rank order classifiers

3.7 Human-level performance

  • Bayes optimal error is defined as the best possible error. In other words, it means that any functions mapping from x to y can’t surpass a certain level of accuracy.

Also, when the performance of machine learning is worse than the performance of humans, you can improveitwith different tools. They are harder to use once its surpasses human-level performance.

These tools are:

  • Get labeled data from humans
  • Gain insight from manual error analysis: Why did the person get this right?
  • Better analysis of bias/variance

3.8 Avoidable bias

By knowing what the human-level performance is, it is possible to tell when a training set is performing well or not.

Example: Cat vs Non-Cat

Scenario A Scenario B
Humans error 1 7.5
Training error 8 8
Development error 10 10
  • Scenario A - Use bias reduction
  • Scenario B - Use variance reduction

3.9 Improving your model performance

summary

3.10 Carrying out error analysis

Evaluate multiple ideas in parallel

Ideas for cat detection:

  • Fix picture of dogs being classified as cats
  • Fix great cats (lions, panthers...) being classified as non cat
  • Improve performance on blurry images

Get some of the classification errors and manually check them, so as to have an idea on might we do next. Get an insight on why the errors might have happened.

Images Dog Great cats Blurry Comments
1 X Pitbull
2 X X
3
n
% 8% 40% 50%

3.11 Cleaning up incorrectly labeled data

  • Deep Learning is robust to random data mislabeling, but not systematic mislabeling (e.g. all white dogs annotated as cats)
  • Use manual error analysis with a table as described above where one column is for mislabeled samples.
  • Check % of errors due to mislabeled samples.

3.12 Training and testing on different distributions

In a case on which you have two distributions, one big and one small, but you actually care about the performance of the small (e.g. it could be the one provided by your users) the best thing to do is build the dev/test set with the small dataset and train with the big one. So you can at least make sure you are not having "biased" performance torwards the big dataset.

You could also add some of the small dataset into the training set. But dev/test sets should still consist of the small set and have a reasonable size.

Let's say you are taking the approach above and get

  • Training set error = 1%
  • Dev set error = 10%

This could be because of two reasons:

  1. High variance (overfitting)
  2. The data in the dev test is harder, the images, for example may not be as clear as the ones on the training set.

One solution to identify which of these two possible causes are the cause, could be to create a training-dev set, which is not used during training, but comes from the same distribution. This can be used for "pre-validation".

Now you could have:

  • Training set error = 1%
  • Training-dev set error = 9%
  • Dev set error = 10%

The issue is high variance (overfitting)

  • Training set error = 1%
  • Training-dev set error = 1%
  • Dev set error = 10%

The dev set is "harder"


Human error <-Avoidable Bias-> Training set error <-Variance-> Training-dev set error <-Data mismatch-> Dev error <-Overfitting to dev set-> Test error

3.13 Addressing data mismatch

  • If have data mismatch, carry out manual error analysis.
  • Make training set more similar to dev/test
  • Artificial data synthesis (caution to not simulate data for only subset of all possible examples)

3.14 Transfer learning

You want to train on Task B, using a pre-trained model trained with Task A

Transfer Learning makes sense when

  • Task A and B have similar input (images, audio...)
  • You have more data for Task A than B (train on A, fine tune on B)

3.15 Multi-task Learning

Merge several tasks into one, for instance, in the context of autonomous vehicles, we might have several tasks based on the same data (image). Detect people, cars, signs and traffic lights. We can merge this problem by having our labels be quadruples, one value for each "class".

The loss function could be the average of losses for each output.

loss

With the loss defined this way, you can also train a model on which for a specific example the quadruple is as such (1,0,?,1)

You just make so the loss takes the non ? average (sum all non ?)

Multi-task learning makes sense when

  • The tasks can benefit from same low level features
  • Amout of data for each task is similar

4 Convolutional Neural Networks

4.1 Convolution Operation

Convolutional output dimension is given by: n - f + 1

4.2 Padding

Solves two issues:

  • Shrinking output

  • Throw away information from edge, because the edge pixels are used less than the middle ones.

4.2.1 Valid Convolution (no padding)

  • n - f + 1

4.2.2 Same Convolution (with padding)

  • n + 2p - f + 1

4.3 Strided Convolutions

  • (n + 2p - f) / s + 1

4.4 Convolutions Over Volume

  • Each of the 27 elements of the 3x3x3 filter are multiplied with their relative element in the current convolutional and summed over, resulting in the final pixel of the resulting 2D image.

  • The number of channels/depth of our image and filter volume has to always be the same.

4.4.1 Multiple filters

The above image contains 2 filters, which applied to a single RGB image result in a 4x4x2 volume. The subsequent convolutions applied to this output volume should use 2 channel filters.

4.5 One Layer of a Convolutional Network

  • Each filter W also has a bias term, which is added channel wise to the output of the convolution operation

  • An activation function is applied to each of these elements.

4.6 Pooling Layers

4.6.1 Max Pooling

  • The intuition behind Max Pooling is that if some feature was detected in some quadrant, that quadrant will have a high value, therefore this information should be persistent in the output volume.

  • Max Pooling over a volume has an output with same number of channels as input (max pooling is taken channel wise)

4.6.2 Average Pooling

  • Sometimes is used deep in the net to make a dimensions such as 7x7x1000 to be like 1x1x1000

4.7 Parameter count

4.8 Classic Networks

4.8.1 LeNet-5

  • Dimension goes down
  • Filters go up
  • Conv -> Pool -> Conv -> Pool

4.8.2 AlexNet

  • Bigger
  • ReLU

4.8.3 VGG-16

  • Uniform
  • Dimension goes down
  • Filters go up

4.9 ResNets

4.9.1 Residual Block

4.9.1.1 Normal block

4.9.1.2 Residual block

"Plain Network":

  • ResNets are robust against Vanishing/Exploding Gradients, allowing us to create deeper networks.

4.9.2 Why ResNets Work

If the paremeters of layer l + 2 are small (e.g. because of regularization), becase of the skip connection of the residual block, it's easy for block's "function" to be an identity function, meaning a[l+2] == a[l]. Therefore, the additional residual block doesn't hurt performance in a worst case scenario.

4.9.3 A note on tensors shape for residual addition

  • To make so that z[l+2] and a[l] can be added, "same" convolutional is used throughout.

When these two tensors shape are different:

  • Ws could be a matrix that ends up creating padding
  • Ws could be some learned parameters
  • An alternative approach is discussed in 2.2 of the assignment for the 2nd week

4.10 Inception

4.10.1 Inception Module

  • The extra 1x1 conv are used to reduce the volume depth do reduce computation cost.

4.11 Detection Algorithms

  • Object "Localization" - at most, a single object
  • Object "Detection" - multiple objects

4.11.1 Object Localization

  • Target label sample:

Pc indicates if there is a class present.

If there isn't a class in the evaluation we "don't care" about the rest of the output values, meaning their loss is not computed.

You can use different loss functions for each output value, maybe log likelyhood for class and booleans and MSE for bounding box

4.11.2 Object Detection

  • Sliding Windows
  1. Train a convet to be able to find the object

  1. Use the convnet in sliding windows over the image with reasonable stride
  2. Do it again, only now with a bigger window
  3. Same as above with even bigger window
  4. Hopefully these windows would have detected the objects if any

Sliding windows has high compute cost

4.11.3 Convolutional Implementation of Sliding Windows (Parallelization)

  1. Sliding windows normal convnet topology

  1. Sliding windows fully convolutional topology (mathematically same as above)

Each one of the 4 output rows corresponds to the respective input corner crop as illustrated.

Max Pool stride is same as sliding window stride.

4.11.4 YOLO

Combines the idea of 4.11.3 with the target labels encoding of 4.11.2 to output a single volume where each row outputs the result for each image's region.

  • bx, by, bh, bw encoding
    • bx - [0, 1] relative to the size of the subimage (horizontal center)
    • by - [0, 1] relative to the size of the subimage (verical center)
    • bh - [0, >1] relative to the size of the subimage
    • bw - [0, >1] relative to the size of the subimage

Yolo paper: https://arxiv.org/pdf/1506.02640v5.pdf

4.11.5 Intersection Over Union

4.11.6 Non-max Suppression

  • Sometimes the same object may be detected multiple times

  • We can erase the closing bouding boxes with least IoU

4.11.6 Anchor Boxes

  • How to make a grid cell detect multiple objects

  • You pre-define 2 different shapes (or more)
    1. Anchor box 1
    2. Anchor box 2

  • Your target y now turns out to be

The first 8 are associated with the Anchor box 1 and the later 8 with Anchor box 2.

  • Each object in training image is assigned to grid cell that contains that object's point

4.12 One Shot Learning

  • Learn from one image or a small number.

4.13 Siamese Network

  • Run the same DNN on different inputs and comparing the result.
  • The output is a n-dim vector which is an embedding of the input images

4.13 Triplet Loss

  • 3 images (anchor, positive, negative)

  • Alpha is used to make sure negative images have a "different score" by at least some margin. Otherwise the DNN could have f(img) = 0 vector and the condition would be satistied.

  • Relevant paper: https://arxiv.org/abs/1503.03832

  • Choose triplets that are "hard" (not random), otherwise gradient descent won't do anything, because the DNN will be getting everything right, it would be trivial to satisfy the condition <= 0.

4.13 Face Verification and Binary Classification

  • Use Logistic Regression to output if the images are the same. The input features would be the absolute difference between each element of the network embedding.

4.14 Neural Style Transfer

  • G - Generated
  • S - Style
  • C - Content

4.14.1 Cost function

Content cost function

  • Is based on a hidden layer L
  • Use pre-trained ConvNet
  • Let a[l][C] and a[l][G] be the activation of layer l on the images
  • If a[l][C] and a[l][G] are similar, both images have similar content

Style Cost Function

  • Is based on a hidden layer L
  • Measures how correlated are the filters of a given layer for two different images.

4.14.2 1D and 3D Generalizations

5 Sequence Models

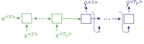
5.1 Recurrent Neural Networks

  • a<0> is usually initialized with a zero vector.

  • To compute the hidden state we usually use tanh
  • To compute y_hat we use sigmoid for binary classifcation or softmax for multi class classification. Or any other activation that makes sense with the kind of output we are working with.

Simplifying the computations

For One2Seq type architectures, the output of the last time step is given as input for the next time step.

Seq2Seq with different input/output lenghts

5.2 Language Model

5.3 Neural Machine Translation and Sequence Encoding

  • There is 2 parts, encoder and decoder.
  • The final hidden state of the encoder is able to make a vector representation of the input sequence
  • Which is then decoded by the decoder.
  • This is useful to generate embeddings for sequences.

About

Notes from the DeepLearning.AI courses

Topics

Resources

Stars

Watchers

Forks

Releases

No releases published

Packages

No packages published