Skip to content

一文详解RNN及股票预测实战(Python) #35

@aialgorithm

Description

@aialgorithm

循环神经网络(RNN)是基于序列数据(如语言、语音、时间序列)的递归性质而设计的,是一种反馈类型的神经网络,其结构包含环和自重复,因此被称为“循环”。它专门用于处理序列数据,如逐字生成文本或预测时间序列数据(例如股票价格)。

一、 RNN 网络类型

RNN以输入数m对应输出数n的不同,可以划分为5种基础结构类型:

(1)one to one:其实和全连接神经网络并没有什么区别,这一类别算不上 RNN。

(2)one to many:输入不是序列,输出是序列。可用于按主题生成文章或音乐等。

(3)many to one:输入是序列,输出不是序列(为单个值)。常用于文本分类。

(4)many to many:输入和输出都是不定长的序列。这也就是Encoder-Decoder结构,常用于机器翻译。

(5)many to many(m==n):输入和输出都是等长的序列数据。这是 RNN 中最经典的结构类型,常用于NLP的命名实体识别、序列预测,本文以此为例具体展开。

二、RNN原理

关于RNN模型,我们还是从数据、模型、学习目标、优化算法这几个要素展开解析,使用过程需要重点关注的是其输入和输出的差异(本节以经典的m==n的RNN结构为例):

2.1 数据层面

不像传统的机器学习模型假设输入是独立的,RNN的输入数据元素有顺序及相互依赖的,并按时间步逐一的串行输入模型的。上一步的输入对下一步的预测是有影响的(如文字预测的任务,以“猫吃鱼”这段序列文字,上一步的输入“猫”--x(0)会影响下一步的预测“吃”--x(1)的概率,也会继续影响下下步的预测“鱼”--x(2)的概率),我们通过RNN结构就可以将历史的(上下文)的信息反馈到下一步。

2.2 模型层面及前向传播


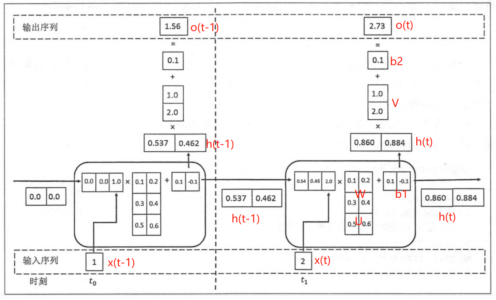
如上图,RNN模型(如左侧模型,实际上也只有这一个物理模型),按各个时间步展开后(如右侧模型),可以看作是按时间步(t)串联并共享($ U、W、V$ )参数的多个全连接神经网络。展开后的立体图如下:

RNN除了接受每一步的输入x(t),同时还会连接输入上一步的反馈信息——隐藏状态h(t-1),也就是当前时刻的隐藏状态 ℎ(t) 由当前时刻的输入 x(t)和上一时刻的隐藏状态h(t-1)共同决定。另外的,RNN神经元在每个时间步上是共享权重参数矩阵的(不同于CNN是空间上的参数共享),时间维度上的参数共享可以充分利用数据之间的时域关联性,如果我们在每个时间点都有一个单独的参数,不但不能泛化到训练时没有见过序列长度,也不能在时间上共享不同序列长度和不同位置的统计强度。

如下各时间步的前向传播计算流程图,接下来我们会对计算流程逐步分解:

上图展开了两个时间步t-1、t的计算过程;
t取值为0~序列的长度m;
x(t)是t时间步的 输入向量;
U是 输入层到隐藏层的权重矩阵;
h(t)是t时间步 隐藏层的输出状态向量,能表征历史输入(上下文)的反馈信息;
V是 隐藏层到输出层的权重矩阵;
b是 偏置项;
o(t)是t时间步 输出层的输出向量;

2.2.1 t 时间步的输入过程

假设各时间步的状态h的维度为2,h初始值为[0,0],输入x和输出o维度为1。

将上一时刻的状态h(t-1),与当前时刻的输入x(t)拼接成一维向量作为全连接的隐藏层的输入,对应隐藏层的的输入维度为3 (如下图的输入部分)。

2.2.2 t时间步输出h(t) 并反馈到下一步的过程

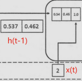
对应到计算流程图上,t-1时刻输出的状态h(t-1)为[0.537, 0.462],t时刻的输入为[2.0],拼接之后为[0.537, 0.462, 2.0]输入全连接的隐藏层,隐藏层的权重矩阵$U+W$为[[0.1, 0.2], [0.3, 0.4], [0.5, 0.6]],偏置项b1为[0.1, -0.1],经过隐藏层的矩阵运算为:h(t-1)拼接x(t) * 权重参数W 拼接 权重矩阵U + 偏置项(b1)再由tanh转换后输出为状态h(t)。接着h(t)与x(t+1)继续输入到下一步(t+1)的隐藏层。

# 隐藏层的矩阵运算的对应代码
np.tanh(np.dot(np.array([[0.537, 0.462, 2.0]]),np.array([[0.1, 0.2], [0.3, 0.4], [0.5, 0.6]])) + np.array([0.1, -0.1]))
# 输出h(t)为: array([[0.85972772, 0.88365397]])

2.2.3 t时间步h(t) 到输出o(t)的过程

隐藏层输出状态h(t)为[0.86, 0.884],输出层权重矩阵$V$为[[1.0], [2.0]],偏置项b1为[0.1], h(t)经由输出层的矩阵运算为:h(t) * V +偏置项(b2)后,输出o(t)

# 输出层的矩阵运算的对应代码
np.dot(np.array([[0.85972772, 0.88365397]]),np.array([[1.0], [2.0]])) + np.array([0.1])
# o(t) 输出: array([[2.72703566]])

上述过程从初始输入(t=0)遍历到序列结束(t=m),就是一个完整的前向传播过程,我们可以看出权重矩阵$U、W、V$和偏置项在不同时刻都是同一组,这也说明RNN在不同时刻中是共享参数的。

可以将这RNN计算过程简要概述为两个公式:

状态h(t) = f( U * x(t) + W * h(t-1) + b1), f为激活函数,上图隐藏层用的是tanh。隐藏层激活函数常用tanh、relu

输出o(t) = g( V * h(t) + b2),g为激活函数,上图输出层做回归预测,没有用非线性激活函数。当用于分类任务,输出层一般用softmax激活函数

2.3 学习目标

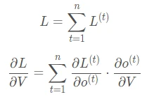
RNN模型将输入 x(t)序列映射到输出值 o(t)后, 同全连接神经网络一样,可以衡量每个 o(t) 与相应的训练目标 y 的误差(如交叉熵、均方误差)作为损失函数,以最小化损失函数L(U,W,V)作为学习目标(也可以称为优化策略)。

2.4 优化算法

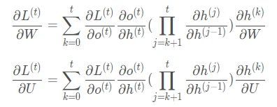
RNN的优化过程与全连接神经网络没有本质区别,通过误差反向传播,多次迭代梯度下降优化参数,得到合适的RNN模型参数$ U,W,V$ (此处忽略偏置项) 。区别在于RNN是基于时间反向传播,所以RNN的反向传播有时也叫做BPTT(back-propagation through time),BPTT会对不同时间步的梯度求和,由于所有的参数在序列的各个位置是共享的,反向传播时我们更新的是相同的参数组。如下BPTT示意图及U,W,V求导(梯度)的过程。

优化参数 $V$ 相对简单,求参数 $V$ 的偏导数,并对不同时间步的梯度求和:

$W$$U$ 的偏导的求解由于需要涉及到历史数据,其偏导求起来相对复杂,假设只有三个时刻(t==3),那么在第三个时刻 $L$$W$ 的偏导数为:

相应的,$L$ 在第三个时刻对U的偏导数为:

我们根据上面两个式子可以写出L在 $t$ 时刻对 $W$$U$ 偏导数的通式:

  • RNN优化的难点
    我们把激活函数(sigmoid、tanh)代入,分析上述通式的中间累乘的那部分:

    sigmoid函数的导数范围是(0,0.25],tanh函数的导数范围是(0,1]。累乘的过程中,如果取sigmoid函数作为激活函数的话,随着时间步越长,较小导数累乘就会导致该时间步梯度越来越小直到接近于0(历史时间步的信息距离当前时间步越长,反馈的梯度信号就会越弱),这也就是“梯度消失”。同理,也可能会导致“梯度爆炸”。

2.5 RNN的局限性

  • 上述展示的都是单向的 RNN,单向 RNN 有个缺点是在 t 时刻,无法使用 t+1 及之后时刻的序列信息,所以就有了双向循环神经网络(bidirectional RNN)。

  • 理论上RNN能够利用任意长序列的信息,但是实际中它能记忆的长度是有限的,经过一定的时间后将导致梯度爆炸或者梯度消失(如上节),即长期依赖(long-term dependencies)问题。一般的,使用传统RNN常需要对序列限定个最大长度、设定梯度截断以及引导信息流的正则化,或者使用门控RNN 如GRU、LSTM 以改善长期依赖问题(--后面专题讨论)。

三、 RNN预测股票

本项目通过创建单层隐藏层的RNN模型,输入前60个交易日(时间步)股票开盘价的时间序列数据,预测下一个(60+1)交易日的股票开盘价。

导入股票数据,选取股票开盘价的时间序列数据

import numpy as np
import matplotlib.pyplot as plt
import pandas as pd

#(本公众号阅读原文访问数据集及源码)
dataset_train = pd.read_csv('./data/NSE-TATAGLOBAL.csv')
dataset_train = dataset_train.sort_values(by='Date').reset_index(drop=True)
training_set = dataset_train.iloc[:, 1:2].values
print(dataset_train.shape)
dataset_train.head()

对训练数据进行归一化,加速网络训练收敛。

# 训练数据max-min归一化
from sklearn.preprocessing import MinMaxScaler
sc = MinMaxScaler(feature_range = (0, 1))
training_set_scaled = sc.fit_transform(training_set)

将数据整理为样本及标签:60 timesteps and 1 output

# 每条样本含60个时间步,对应下一时间步的标签值
X_train = []
y_train = []
for i in range(60, 2035):
    X_train.append(training_set_scaled[i-60:i, 0])
    y_train.append(training_set_scaled[i, 0])
X_train, y_train = np.array(X_train), np.array(y_train)

print(X_train.shape)
print(y_train.shape)

# Reshaping
X_train = np.reshape(X_train, (X_train.shape[0], X_train.shape[1], 1))
print(X_train.shape)

利用kera创建单隐藏层的RNN模型,并设定模型优化算法adam, 目标函数均方根MSE

#  利用Keras创建RNN模型

from keras.models import Sequential
from keras.layers import Dense
from keras.layers import SimpleRNN,LSTM
from keras.layers import Dropout


# 初始化顺序模型
regressor = Sequential()

# 定义输入层及带5个神经元的隐藏层
regressor.add(SimpleRNN(units = 5, input_shape = (X_train.shape[1], 1)))

# 定义线性的输出层
regressor.add(Dense(units = 1))

# 模型编译:定义优化算法adam, 目标函数均方根MSE
regressor.compile(optimizer = 'adam', loss = 'mean_squared_error')

# 模型训练
history = regressor.fit(X_train, y_train, epochs = 100, batch_size = 100, validation_split=0.1)

regressor.summary()

展示模型拟合的情况:训练集、验证集均有较低的loss

plt.plot(history.history['loss'],c='blue')    # 蓝色线训练集损失
plt.plot(history.history['val_loss'],c='red') # 红色线验证集损失
plt.show()

评估模型:以新的时间段的股票交易系列数据作为测试集,评估模型测试集的表现。

# 测试数据
dataset_test = pd.read_csv('./data/tatatest.csv')
dataset_test = dataset_test.sort_values(by='Date').reset_index(drop=True)

real_stock_price = dataset_test.iloc[:, 1:2].values

dataset_total = pd.concat((dataset_train['Open'], dataset_test['Open']), axis = 0)
inputs = dataset_total[len(dataset_total) - len(dataset_test) - 60:].values
inputs = inputs.reshape(-1,1)
inputs = sc.transform(inputs)

# 提取测试集
X_test = []
for i in range(60, 76):
    X_test.append(inputs[i-60:i, 0])
X_test = np.array(X_test)
X_test = np.reshape(X_test, (X_test.shape[0], X_test.shape[1], 1))

# 模型预测
predicted_stock_price = regressor.predict(X_test)
# 逆归一化
predicted_stock_price = sc.inverse_transform(predicted_stock_price)
# 模型评估
print('预测与实际差异MSE',sum(pow((predicted_stock_price - real_stock_price),2))/predicted_stock_price.shape[0])
print('预测与实际差异MAE',sum(abs(predicted_stock_price - real_stock_price))/predicted_stock_price.shape[0])

通过测试集评估,预测与实际差异MSE:53.03141531,预测与实际差异MAE :5.82196445。可视化预测值与实际值的差异情况,预测对比实际值趋势有延后,但整体比较一致(注:本文仅从数据规律维度预测股价,仅供参考不构成任何投资建议,亏光了别找我!!!)。

# 预测与实际差异的可视化
plt.plot(real_stock_price, color = 'red', label = 'Real TATA Stock Price')
plt.plot(predicted_stock_price, color = 'blue', label = 'Predicted TAT Stock Price')
plt.title('TATA Stock Price Prediction')
plt.xlabel('samples')
plt.ylabel('TATA Stock Price')
plt.legend()
plt.show()

文章首发于算法进阶,公众号阅读原文可访问GitHub项目源码

Metadata

Metadata

Assignees

No one assigned

    Labels

    No labels
    No labels

    Projects

    No projects

    Milestone

    No milestone

    Relationships

    None yet

    Development

    No branches or pull requests

    Issue actions