本次比赛并行计算部分主要优化尝试:
- 算法优化:winograd4x3-3D
- 指令级并行:循环展开,分支预测
- 数据级并行:AVX128,256,512
- 线程级并行:OPENMP
- 编译器:尝试gcc不同版本,对比llvm
- 内存排布:36*STRIDE
- 冒险尝试:merge_array
- Profiling:perf
- 赵家贝 清华大学软件学院研二 zjb20@mails.tsinghua.edu.cn
- 谭新宇 清华大学软件学院研二 tanxinyu@apache.org
- 宋一唱 清华大学软件学院研二 wildgold@qq.com
- CPU:Intel(R) Xeon(R) Gold 6348 CPU @ 2.60GHz
- 内存:768 GB
- 磁盘:需参照宿主机具体磁盘配置,文件系统为 Overlay
- 操作系统:CentOS Linux release 8.4.2105
- GCC:8.4.1
- MKL:oneAPI mkl-2021.4.0
- MPI:openmpi-4.1.1
Winograd 算法来自于 CVPR 2016 的一篇 paper:Fast Algorithms for Convolutional Neural Networks。Winograd 算法的主要思路便是通过减少乘法次数增多加法次数来实现提速。总体上来看这是一个计算密集的场景,因而优化便在于如果最大程度压榨出 CPU 的性能。
- 并行
卷积运算的过程是可以进行并行计算的,比如示例代码中给出的计算中,每一个 channel 的计算就是完全互不干扰,可以并行的。要想加速卷积运算,需要充分利用计算平台多核的优势,尽可能在每一个环节把计算并行化。
我们在算法中通过 openmp 库,进行了并行计算的尝试。
- SIMD 向量化
单指令流多数据流(SIMD)是能够复制多个操作数,并把它们打包在大型寄存器的一组指令集。向量化计算是一种常用于加速计算密集的并行任务的优化方法。
1997 年,x86 扩展出了 MMX 指令集,伴随着 8 个向量寄存器,首开了向量化计算的先河。之后 x86 又扩展出了 SSE 和 AVX 指令集。SSE 和 AVX 各有 16 个寄存器,同一个寄存器可以装载多个数据单元,并且可以用相应的指令在同一个时钟周期内进行并行运算,随着指令集的升级,每个时钟周期可以并行的单元数也在不断增加。
在我们的服务器和赛方提供的服务器上,我们依次实验了 AVX128,AVX256 和 AVX512 指令集。
- 充分利用缓存
在计算密集的场景中,CPU 的访存时延往往会成为瓶颈。因此要尽可能利用好 L2/L3 缓存。落地到代码中便是精心设计数据结构在内存中的布局,尽量进行批量化的计算等等。此外还需要避免多线程环境下的伪共享问题,以避免程序性能被大幅降低。
- 编译优化
编译优化是计算密集场景中非常重要的优化工作。尽管我们可以按照底层的硬件属性写出尽可能高效的代码,但一个成熟的编译器往往考虑的比我们更多。这些优化包括但不限于循环展开,并行优化,向量化,寄存器变量,矩阵分块等等。
因此,我们对目前两种最流行的 C 编译器 GCC 和 LLVM 都进行了性能验证。
- 算法优化
在示例代码中的 Winograd 算法实际上是一种一维算法,需要逐个对每个图片每个 channel 的每一行每一列与每个卷积核相乘,因此有大量的 for 循环。通过查阅文献,我们发现在 3D 卷积运算中,相对于示例代码我们可以做出三个优化:
- 转换 1D 的 winograd 算法到 2D。比如示例的 winograd(2,3) 可以转换成 winograd(2x2, 3x3), 可以同时计算得到一个 (2x2) 的输出。
- 转换 1D 的 winograd 算法到 3D。相关文献指出,在 3D 的矩阵运算中,可以把 winograd 算法分成 4 步,分别是 Input transform、Filter transform、Matrix Multiplication、Output transform。
- 扩展 winograd(2,3) 算法到 winograd(4,3)。根据相关文献指出,4x3 算法能更多地减少乘法运算的比例,从而带来更好的加速效果。而且 4x3 将矩阵分块更大一些,对增加缓存命中也相对友好。
根据文献的实验结果,3D-winograd(2,3) 算法是最节能的,适合在 FPGA 等边缘设备上部署。但 3D-winograd(4,3) 算法前向传播是最快的,因此我们最终采取了 3D-winograd(4,3) 算法。
- 缓存
在优化时,我们按照程序中的提示,先从优化矩阵计算出发。示例代码的矩阵运算显然是一种对缓存的低效利用,每次读取一段内存,但只用到了其中的第一个数据,下次循环又要去读取新的内存。通过交换循环的顺序,即可提升对缓存的利用效率。此优化有近 14 倍的提升 (0.22GFlops->3.05GFlops)
- SIMD AVX128
把矩阵运算划分成一部分 4x4 矩阵运算,不能被 4 整除的部分单独做 1x1 的矩阵运算。并通过 AVX128 指令集计算 4x4 矩阵运算,在 AVX128 中一个寄存器可以存储 4 个单精度浮点数,即可以同时对它们做向量化计算。在 4x4 的运算中没有循环,全部做循环展开做计算。同时利用 FMA 指令引入积和熔加运算,进一步压缩指令。此优化有近 4 倍的提升。 (3.05GFlops->12.88 GFlops)
- 线程级并行
此时,我们尝试通过引入 openmp 多线程进行矩阵运算,但并行的性能一直不如串行,甚至经过实验发现有线程数加倍性能减半的现象。经过分析发现在示例代码中有大量的小矩阵运算,比如在第一部分逐 channel 逐卷积核的矩阵相乘中有大量的大小为 4 的矩阵,矩阵太小导致分给每个线程的任务过少,线程本身的调度开销大于多线程带来的收益,因此多线程在这种运算中是一种负优化。
为了引入并行加快速度,我们单独为中间的大矩阵运算编写了加入了多线程的函数,小矩阵运算则不加多线程。此优化有近 5 倍的提升。(12.88GFlops->57.11GFlops)
- Perf 调优
接着,我们利用 Perf profile 了程序各部分的耗时分布。发现如下的问题:
- 矩阵初始化置 0 的耗时占比不低,此处可以优化为 memset 的批量置 0。此优化有 6% 的提升 (57.11GFlops->60.86GFlops)
- winograd 函数中大矩阵计算前后的两个部分耗时过长,这一部分属于算法设计问题,应该对整个算法进行调整。下文会进行介绍。
- SIMD AVX256
此时我们将指令集升级为了 AVX256。在 AVX256 中每个寄存器可以存储 8 个单精度浮点数,因此将原来 4x4 的矩阵运算更换为了 8x8 的矩阵运算。此优化有 1.6 倍的提升。(60.86GFlops->97GFlops)
- 编译器
以上的工作均是在 gcc8 版本上进行 O3 优化测得的,而 gcc 截止今日的最新版本已升级为 11.2.0,可以预见的是,新版本的 gcc 的调优性能会更突出,为此我们升级到了最新的 gcc 11.2.0 版本并继续用 O3 优化进行了测试。此工作提升了近 10% 的性能。(97-106GFlops)
此外,我们也尝试了最新版本的 Clang/LLVM 编译器,使用 O3 版本编译后发现性能甚至不如 gcc8。虽然我们的测试不够充分,但我们猜测 LLVM 为了兼容性相比 gcc 牺牲调了一定的优化空间。就如果 Java 之于 C/C++ 一样。
接着我们将以上优化搬迁到了赛方提供的服务器上。由于硬件性能的提升,测试结果提升到了 170GFlops。
- SIMD AVX256 && win4x3 算法 && 引入 MKL
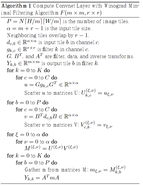
论文中的算法描述如下所示:
最后在赛方提供的服务器上,我们参照论文和相关资料重写了 winograd 算法,更新成 3D-winograd(4x3) 算法。以下我们分四个部分详细介绍该算法的实现:
- Input transform
首先把输入矩阵拆分成 tiles,在这里 tiles 是长宽均为 6 的矩阵,在拆分过程中为了充分发挥向量化的作用,每一次会同时对 16 个 6x6 的 tile 矩阵进行操作,因为每个 AVX512 寄存器能存储 16 个单精度浮点数。通过循环展开手写 AVX 指令的方式,把 16 个矩阵中的数读取出来并重新排列,之后再批量与矩阵 G 相乘,相乘操作也全部展开用 AVX 指令的方式实现。这样批量操作可以充分发挥单核 SIMD 指令的效能,并且每个计算单元不会影响其他部分的内存,不会出现伪共享问题,可以实现完全的并行操作。大量的循环展开虽然增加了代码量,但有利于减少循环开销、也有利于指令流水线的调度。对于边长不满足被步长整除(步长为 4/64,即无法被 4/64 整除)的参数,可以进行 padding。
- Filter transform
因为卷积核是固定的 3x3 大小,SIMD 无法发挥作用,因此这里使用了循环展开和多线程进行计算卷积核与矩阵 G 相乘,因为卷积核之间也是互相独立的,因此可以尽可能的增加并行度加快运算。最后的赋值也使用 #pragma unroll 指示编译器进行循环展开。
- Matrix Multiplication
此处主要是两个大矩阵做乘法的工作。优化到这里,我们已经意识到很多地方我们写得再好也不如专业的数学库好,他们甚至可能是用汇编从下往上写起的,进而可能实现了很多我们根本不可能做到的优化。
为此,我们调研并选择了 Intel 的 MKL 数据库,相信他们能够将自己家的硬件性能压榨到极致。经过测试发现,使用 MKL 后有较大的提升(约 5 倍),因此这里全部替换成了 mkl 的 sgemm 函数。这里的并行度有两个参数,一个是 36,因为经过 Input transform 得到的三维矩阵有一维是 36,且彼此之间互不影响,可以独立并行。另一个参数是 batch,因为之前把 batch 中所有图像拼在了一起,这里也可以并行,相当于对每个图像做计算。
- Output transform
与 Input transform 类似,也是对 16 个 6x6 的 tile 矩阵进行操作,最终与矩阵 A 相乘,得到 16 个 4x4 的矩阵,并保存到结果矩阵中。这里也大量使用 AVX 指令进行循环展开,并在函数外层使用 openmp 多线程对不同区域进行操作。
这一步的优化包括算法优化、指令集优化,并且引入了 MKL 替代原来的大矩阵乘法。
在算法实现方面注意调整内存的分布,尽量提高缓存命中;尽量使用循环展开,用代码量和可读性换性能;通过分 tile、分块操作的方法,将算法分割成一个个独立的部分,在保证正确性的前提下尽量提高并行度。这些优化提升了 13 倍左右的性能。 (170GFlops->2236GFlops)
最终,我们的编译指令如下:
gcc -std=c11 -fopenmp -lmkl_rt -O3 driver.c winograd.c -o winograd -mavx512f
small.conf 的测试性能为 809GFlops。
realworld.conf 的测试性能为 2236GFlops。
- SIMD 简介
- AVX / AVX2 指令编程
- 为什么向量化计算会这么快?
- 高性能深度学习的编译优化
- 卷积神经网络中的 Winograd 快速卷积算法
- 优化 CPU 矩阵乘法
- 矩阵运算库在性能上区别大吗?
- NCNN
- FeatherCNN
- Optimization of Spatial Convolution in ConvNets on Intel KNL
- Winconv
- Fast Algorithms for Convolutional Neural Networks
- Sparse Winograd Convolutional neural networks on small-scale systolic arrays
- Perf
H5bench 是一个开源的 hdf5 测试工具,其与 hdf5 进行了深度适配,能够测量 hdf5 在异步 IO,分块,压缩,多线程等场景下的读写性能。总体上来看这是一个 IO 密集的场景,因而优化便在于如果最大程度压榨出磁盘的性能。
测量的精度是控制的上限,在 IO 相关的问题中,如果不能准确地测量性能,就难以进行真正的改进,无法准确地分析瓶颈。因此我们对 Linux IO 进行了一定的调研,分析了可能影响带宽的因素、如何测量带宽和性能抖动的原因。
- Page Cache
在 Linux 的实现中,文件 Cache 分为 Page Cache 和 Buffer Cache,一个 Page Cache 包含若干个 Buffer Cache。Page Cache 主要用来作为文件系统上的文件数据的缓存来用,Buffer Cache 则主要是设计用来在系统对块设备进行读写的时候,对块进行数据缓存的系统来使用。 当 Linux 内核开始一个读操作,比如,执行 file->f_op->read() 或 file->f_op->write(),它会首先检查需要的数据是否在 Page Cache 中。如果命中 cache,则可直接从内存中读取。因为访问磁盘的速度要远远低于访问内存的速度(ms 和 ns 的差距),因此命中 cache 可以极大地提高 IO 速度。 具体到 Linux 内核的读操作中,内核首先调用 find_get_page() 尝试在 page cache 中找到需要的数据。如果搜索的页并不在 page cache 中,find_get_page() 返回 NULL,并且内核将分配一个新页面,然后调用 add_to_page_cache_lru() 将之前搜索的页加入 page cache 中。最后调用 readpage() 将需要的数据从磁盘读入。
因此,在对读取同一个文件的带宽进行多次测量时,需要运行
echo 3 >/proc/sys/vm/drop_caches
来手动清空 Page Cache,否则内核存在直接从内存中读取数据的可能性,导致实测的 IO 带宽失准。
- 异步 IO
异步 IO 的工作方式是当进程读写文件时,一旦读写操作进入队列函数就结束,甚至有可能真正的 IO 数据传输还没有开始,这样调用进程就可以在数据正在传输时继续自己的运行。
io_uring 是 2019 年 Linux5.1 内核引入的取代传统 Linux AIO 的高性能异步 IO 框架。通过全新的设计,共享内存,IO 过程不需要系统调用,由内核完成 IO 的提交, 以及 IO completion polling 机制,实现了高 IOPS 和高 Bandwidth。
h5bench 提供了使用 HDF5 Asynchronous IO VOL connector 为支撑的异步 IO 模式。HDF5 Asynchronous IO VOL connector 利用 HDF5 异步接口,通过对 IO 操作尽早调度以及与计算和通信并行执行,有效提高了 HDF5 的整体运行效率。
- 并行 IO
并行 IO 是一种使用不同进程同时访问磁盘数据的技术,能够最大化带宽和速度。从 Linux 内核的角度看,块 IO 操作的基本容器由 bio 结构体表示,其指向一个 bio_vec 结构体链表,这些结构体描述了每个片段在物理页中的实际位置。块 IO 层通过 bi_idx 域跟踪块 IO 操作的完成进度,同时也起到分割 bio 结构体的作用,为 IO 操作的并行执行提供条件。
HDF5 使用 MPI-IO 的接口,从而支持了部分并行 IO 操作,提供了比 MPI-IO 更高级的数据抽象。
- 文件系统 (RAID/NFS)
RAID 通过将多块独立的磁盘(物理硬盘)按不同方式组合起来形成一个磁盘组(逻辑硬盘),从而提供比单个硬盘更高的 IO 性能和数据冗余。不同的 RAID 级别有不同的 IO 性能特点。如 RAID5 采用磁盘分段加奇偶校验技术,读出效率很高,写入效率一般。
若实际的文件系统为 NFS,或是包含 NFS 的混合形态,那么实际的 IO 带宽可能受网络带宽限制。通过网络传输的数据也需要的额外的校验操作,从而进一步限制 IO 带宽。
- 性能抖动
SSD 内部的 IO 性能抖动:比特错误(随着使用时间增加,比特错误率越来越高,因比特错误导致的读延迟概率和时间也会随之增高)、读写/擦除操作冲突(当读写操作与擦除操作冲突会导致读写操作延迟)、垃圾回收(SSD 内部进行 GC 时会占用磁盘资源)、读平衡(数据迁移与用户 IO 之间的资源竞争)等等。
HDD 内部的 IO 性能抖动:机械硬盘性能受数据随机/顺序读写因素影响较大。此外,跨盘读写时会出现性能抖动。
磁盘带宽占用:当其他进程当前任务竞争磁盘 IO 时,会出现性能抖动。
内存占用:当系统中存在内存不足的压力时,Linux 内核会利用 flusher 线程对 Page Cache 进行回写动作,势必会影响 IO 性能,造成性能抖动。
- IO 测试工具
FIO 是一个可以产生很多线程或进程并执行用户指定的特定类型 IO 操作的工具。FIO 支持十几种不同类型的 io 引擎(libaio、sync、mmap、posixaio、network 等等),可以测试块设备或文件,可以通过多线程或进程模拟各种 io 操作,可以测试统计 iops、带宽和时延等性能。通过 FIO 相应模式测得的设备 IO 带宽是我们可达到的带宽性能的极限。
系统设备 IO 负载情况的监控工具有 iotop、iostat 等。
首先介绍一下三个配置文件分别代表了怎样的读取模式,以及我们的优化的起点 baseline。
- cc1d.cfg 是一维数据的顺序全量读取。我们的 baseline 是用赛方提供的 1d.cfg 生成 h5 文件,用 sample_read_cc1d.cfg 文件读取。
- cc2d.cfg 是二维数据的全量读取。我们的 baseline 是用赛方提供的 2d.cfg 生成 h5 文件,用 sample_read_cc2d.cfg 文件读取。
- stride1d.cfg 也是一维数据的读取,但是是读取一段长度为 BLOCK_SIZE 的数据后,跳过接下来的 STRIDE_SIZE 个数据,总共重复 BLOCK_CNT 次。我们的 baseline 是用赛方提供的 1d.cfg 生成 h5 文件,用 sample_read_stride1d.cfg 文件读取。
在阅读了 h5bench 作者的论文以及对系统 I/O 做了初步的了解之后,我们打算从以下几个方面进行参数的优化。
-
FILE_PATTERN/MEMORY_PATTERN: 作者在论文中提到 CC/CI/IC/II 四种写入模式的性能测试,分别对应着文件和内存中数据的不同分布情况。应该对这两个参数进行调整。
-
ASYNC_MODE: 通过与项目配套的 Virtual Object Layer(VOL) 可以实现异步写入,通过另起一个后台进程,在应用程序进程进行计算的时候执行真正的读写。
-
Compress: 文件压缩可以以计算量换取 IO 速度,其中分块的参数需要调参。
-
MPI: 通过多进程,给每段进程分配等量的读取任务实现并行加速的效果。其中 MPI 的进程数需要调参。
-
COLLECTIVE IO: 通过合并多个进程的 IO 命令减少系统调用。
在对以上环节进行测试时,我们发现 COLLECTIVE IO 的开启与否对性能影响很小,因此不单独列在实验结果中。
MPI 执行的并行度均为 16。
在测试 FILE_PATTERN/MEMORY_PATTERN 时,我们发现作者对 write 支持了 CC/CI/IC/II 四种模式,但是对 read 只支持 CC 和 C-STRIDED 两种模式,因此只对 STRIDED 读取模式进行了这个优化的实验比较。
在压缩环节,我们定义了统一的 chunk : # of particles 为 16,即 1d 和 strided 两种模式下 chunk 大小都为 1M,2D 的 chunk 大小为 512*256。
Async Mode 统一调整为 EXPLICIT,因为作者在论文中明确指出这种方式性能提升更多。另外 IO_MEM_LIMIT 均设置成略大于文件大小。
在 strided 中我们可以直接读 cc1d 的 h5 数据,但后来发现将写入参数中额外配置 BLOCK_SIZE、BLOCK_CN 和 STRIDE_SIZE 进行写入新的 h5 数据,在所有读取场景下都有优化效果,因此这也算一个优化点。
在我们提出的几个优化点中,MPI 对 1d 的数据有较为明显的优化效果,但在只开启 MPI 的条件下对 2d 和 strided 场景有少量负优化,这可能是由于进程数不合适导致的,后续可以通过调整进程数进一步探索。
Compress 的开启对 1d 有负优化,对 2d 和 strided 模式均有 30% 的正优化。这可能也是压缩比这个参数不合适导致的,可以通过调参找到不同读取模式下更合适的压缩比。
另外,我们在测试中发现,开启 async 对 Raw read rate 有大概 40% 的提升,但是对 Observed read rate 提升不明显,这是由两个时间计量的方式不同导致的,这里依然需要更细致的实验才能找到根因。
对于 1D 的读取模式,最优的配置是 async+MPI 多进程。最优的性能相较于 baseline(493.05:176.63) 提升了 2.79 倍。
对于 2D 的读取模式,最优的配置是 async+MPI+Compress。最优的配置是 async+MPI 多进程。最优的性能相较于 baseline(251.28:154.07) 提升了 1.63 倍。
对于 STRIDED 读取模式,最优的配置是配置 block 参数写入+STRIDED/CONTIG 模式读取+MPI+Compress+Async。最优的性能相较于 baseline(140.93:9.00) 提升了 15.66 倍。
对于 1D 的读取模式,最优的配置是 async+MPI 多进程。
对于 2D 的读取模式,最优的配置是 async+MPI+Compress。
对于 STRIDED 读取模式,最优的配置是配置 block 参数写入+STRIDED/CONTIG 模式读取+MPI+Compress。

通过 iostat 命令查看在运行 1D 写入中的磁盘占用,能观察到多次磁盘 util 指标峰值达到 83%,期间有回落状态,分析应该是 compute 和 I/O 交替导致的。从峰值数据来看,对于 1D 的写入模式,我们还是发挥了大部分系统 I/O 的能力,但仍有优化空间。

