Skip to content

wangtianrui/TFonAndroid

Repository files navigation

艺术风格迁移

神经风格迁移是把一张图片的内容和另一个图片的风格合成

原理:
  • CNN中每层卷积的结果都是每次提取出来的“特征“,所以包含了丰富的信息,这正是风格迁移的核心之处

  • 每层卷积所得到的特征偏向也相对不同

    可以看到第一层卷积侧重点在于“轮廓”(大体外形)

    最后一层则是侧重于“纹理”(在轮廓的基础上进行细分)

  • 从第一层到最后一层,越来越“细节”

  • 所以风格迁移则是将一张图的底层输出(纹理)和另一张图的第一层(轮廓)进行结合,所以涉及到两个网络,

​ 从比较直观的角度来说。随着层数的增加,图越来越糊。这也就是“具体”的信息越来越少,就像是java中一个具体对象在往类的抽象回退,而cnn所要的“特征”也正好就是这个类!

  • 基于上述几点,一般就是使用两个训练好的模型来进行“融合”

  • 回顾一下CNN中的分类:

    CNN无非是一个降维将图片处理到一个低维面上,每层卷积,通过大量的卷积核(每个卷积核都是大量的方阵神经元组成,所以需要激活函数进行“触发”)进行特征提取(w,b),然后再通过池化对“特征”再进行筛选。

    然后我们再在这个低维平面上度量不同“类”的空间距离,进行划分

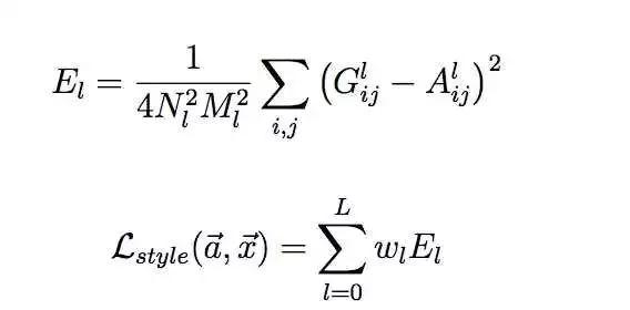
  • 回到主题上,风格(这里讨论着色风格)一般是比较抽象的概念,但是如果在卷积上进行展开的话,可以发现不同神经元之间会有一定的关联性,所以我们借助gram矩阵,来测量同一层卷积输出不同通道之间的关联性,组成一个关联性矩阵,从而给出一个对风格的度量。

    把卷积核摊开,计算关联性

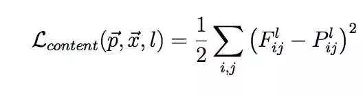
  • 使用到的loss函数为,gram矩阵之间的距离:

  • 衡量风格之间的距离,我们是把不同网络层级间的gram矩阵的距离都计算一下加在一起,这样可以把不同层次度量的东西综合起来。

  • 目标函数:

    ​ 该函数前者为分类网络的“距离”,后者为着色网络的“距离”,所以顺其自然可以想到alpha越大越具象化,beta越高越风格化

  • 优化:

    优化的不再是参数,而是图像本身,让图像中的像素点卷积后更接近风格提取出来的特征

About

tensorflow在android上的移植:car:(画风迁移和手写数字识别)

Resources

Stars

Watchers

Forks

Releases

No releases published

Packages

No packages published

Languages