Un parser básico para gramáticas LL(1).
Para correr el programa de ejemplo:
- Descargar el repositorio
- En el directorio del repositorio, descargar el requerimiento con
pip install -r requirements.txt - Ejecutar con
python3 main.py
Para procesar una cadena, basta construir un objeto Parser(Lexer(tokens), grammar) (disponible en myparser.py), con dos entradas:
-
Un objeto
Lexercon un parámetrotokens, que es una lista de parejas de la forma(nombre, regex). El buffer de tokens para el parser se obtendrá en función de este parámetro, etiquetando tokens de acuerdo a las expresiones regulares con las que haya compatibilidad. Siempre se aceptará el prefijo más largo posible, y si hay dos expresiones que aceptan una cadena, se tomará la primera en la lista. No se pueden ignorar tokens, solo lidiar con ellos en la gramática. -
grammar, una lista de parejas de la forma(noTerminal, regla). Cada pareja representa una regla de producción para una gramática LL(1). Se asume que en la primera regla de la lista, a la izquierda, está el simbolo inicial. La parte de la derecha es una lista de simbolos de la gramática, que deben ser etiquetas definidas en la lista de tokens, o simbolos a la izquierda de alguna regla de la gramática, o la cadena vacía:"".
Ya con el parser construido, solo hay que usar el método parse(string) para obtener la raíz del árbol de sintaxis: un objeto ASTNode con
atributos type, children y literal. Todos los nodos tienen el atributo type, los no terminales tienen
nodos hijos en children, que es una lista, y los terminales tienen una cadena en el atributo literal. Los nodos correspondientes a la cadena vacía tienen el tipo "EPSILON".
-
Para el análisis léxico se simula un autómata no determinista obtenido de las expresiones regulares. El procesamiento de las expresiones está en
re_to_nfa.py. -
Las expresiones regulares solo usan el operador de unión
|, estrella de Kleene*y los paréntesis(). Para detectar estos símbolos con una expresión regular, hay que poner\al principio de cada carácter especial. -
Para el análisis sintáctico se emplea una estrategia top-down, usando una tabla de parsing. No hay manejo de errores como tal: Si se llega a un estado sin reglas aplicables el procedimiento de parsing es abortado.
-
Cuando la cadena de entrada se consuma por completo, el lexer retornará tokens de tipo
"EOF". Si una cadena o símbolo no es aceptado por ninguna expresión, será pasado con un token de tipo"ILLEGAL".
En main.py se crea un objeto Parser con los siguientes parámetros:
tokens = [
("INT", "(0|1|2|3|4|5|6|7|8|9)(0|1|2|3|4|5|6|7|8|9)*"),
("PLUS","+"),
("MINUS", "\*"),
("LPAREN", "\("),
("RPAREN", "\)")
]
grammar = [
("E", ["T","E2"]),
("E2", ["PLUS", "T","E2"]),
("E2", [""]),
("T", ["F", "T2"]),
("T2", ["MINUS", "F", "T2"]),
("T2", [""]),
("F", ["LPAREN", "E", "RPAREN"]),
("F", ["INT"])
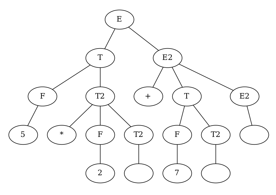
]Al procesar la cadena "5*2+7" se obtiene un árbol de sintaxis que es transformado por la función treeToTeX en una cadena procesable en LaTeX con el paquete qtree.
Al renderizar la cadena correspondiente al árbol de ejemplo, luce así:
También se puede utilizar la función displayTree para ver el árbol. displayTree usa la biblioteca graphViz, el único requerimiento en requirements.txt. Muestra un árbol así:

