Skip to content

clemgoub/typeref

Folders and files

NameName
Last commit message
Last commit date

Latest commit

 
 
 
 
 
 
 
 
 
 
 
 
 
 
 
 
 

Repository files navigation

status status: support DOI.

TypeREF Manual

tags: TypeREF Documentation

Overview

TypeREF is a program to genotype "reference" mobile elements insertions, namely AluY, LINE1 and SVA retrotransposons present in a reference build. The workflow for Alu is identical to TypeTE-Reference, however this new version has been wrapped into a Nextflow package and uses a container (Docker/Singularity) in order to ease its installation.

The principal use of TypeREF is to correct the genotypes of reference Alu polymorphism detected by MELT2. We also implemented the genotyping of candidate LINE1 and SVA elements, however please consult the benchmark section before use.

  • 👩‍🏫 A tutorial for using TypeREF is available here.

For genotyping of non-reference TE insertions see MELT2, ERVcaller or xTEA. For dimorphic Endogeneous Retrovirus polymorphisms see dimorphicERV.

Installation

1. Clone TypeREF repos

The Type-REF project is hosted on github and is available for download

git clone https://github.com/clemgoub/typeref.git

2 Container configuration

2.1 Using Singularity (non-root userts)

With every update of the Dockerfile, a new docker image is pushed to Docker-hub. This way, the docker image can be directly downloaded and converted to a singularity image for rootless users (such as Calcul Canada [CC]) and cannot use docker.

singularity pull --name clemgoub-typeref-latest.img docker://clemgoub/typeref:latest

building the image with singularity pull is slow, but only required once

Next, open and mofify the nextflow.config file, located in the TypeREF repository as follow:

singularity.enabled = true
process.container = '<your-path>/clemgoub-typeref-latest.img'
singularity.autoMounts = true

If the number of available cpu cannot be chosen via a scheduler, the line cpus = N can be added

2.2 Using Docker (root users)

To use TypeREF with Docker, simply add -with-docker clemgoub/typeref:latest or modify the file config.nextflow as follow:

process.container = 'clemgoub/typeref:latest'
docker.enabled = true

Running TypeREF

1. Input files

  • a VCF, for example from MELT "deletion" OR a bed file with Reference TE coordinates --meltvcf/--bed

    Example 1: .vcf

    #CHROM	POS	ID	REF	ALT	QUAL	FILTER	INFO	FORMAT	SAMPLE1	SAMPLE2	SAMPLE3	SAMPLE4
    chr22	10673619	.	C	<CN:0>	.	.	SVTYPE=AluYi6;END=10673927;SVLEN=308;ADJLEFT=0;ADJRIGHT=0	GT:GL	0/0:-1.81,-13.25,-213.51	0/1:-90.1,-8.43,-48.16	0/0:-5.42,-9.63,-87.22	0/1:-39.7,-7.22,-82.03
    chr22	16159229	.	A	<CN:0>	.	.	SVTYPE=AluY;END=16159526;SVLEN=297;ADJLEFT=0;ADJRIGHT=0	GT:GL	0/1:-132,-19.87,-241.1	0/0:-0,-13.85,-254.5	0/0:-0,-13.25,-236.2	0/1:-108,-13.85,-160.8
    chr22	17091394	.	T	<CN:0>	.	.	SVTYPE=AluY;END=17091689;SVLEN=295;ADJLEFT=0;ADJRIGHT=0	GT:GL	0/0:-0,-16.26,-308.9	0/0:-0,-18.66,-346.1	0/0:-0.01,-12.64,-217.9	0/1:-192,-13.85,-84
    chr22	21558350	.	T	<CN:0>	.	.	SVTYPE=AluY;END=21558649;SVLEN=299;ADJLEFT=0;ADJRIGHT=0	GT:GL	0/0:-5.42,-24.08,-330.52	0/1:-108,-8.43,-60	0/0:-0.02,-14.45,-244.6	1/1:-109.2,-6.62,-1.2
    chr22	22560568	.	C	<CN:0>	.	.	SVTYPE=AluY;END=22560869;SVLEN=301;ADJLEFT=0;ADJRIGHT=0	GT:GL	0/1:-171.6,-33.72,-485.33	0/1:-76.4,-27.09,-456.01	0/1:-144.7,-24.08,-324.02	0/1:-84,-18.66,-288
    chr22	26052795	.	G	<CN:0>	.	.	SVTYPE=AluY;END=26053106;SVLEN=311;ADJLEFT=0;ADJRIGHT=0	GT:GL	0/0:-0,-10.84,-193.2	0/1:-120,-9.63,-68	0/0:-0,-6.62,-119	0/1:-132,-8.43,-36
    chr22	31648396	.	G	<CN:0>	.	.	SVTYPE=AluYc;END=31648685;SVLEN=289;ADJLEFT=0;ADJRIGHT=0	GT:GL	0/1:-168,-15.05,-132	0/0:-1.2,-18.06,-322.2	0/1:-216,-13.85,-60	0/1:-240,-15.65,-72
    chr22	39417338	.	A	<CN:0>	.	.	SVTYPE=AluY;END=39417641;SVLEN=303;ADJLEFT=0;ADJRIGHT=0	GT:GL	0/1:-72,-12.64,-173	0/0:-0.09,-16.26,-272.3	0/0:-0,-13.85,-253.7	0/0:-0,-12.64,-228.1
    chr22	41089698	.	C	<CN:0>	.	.	SVTYPE=AluY;END=41089996;SVLEN=298;ADJLEFT=0;ADJRIGHT=0	GT:GL	0/1:-95,-15.65,-207.2	0/1:-153.4,-15.05,-142.3	0/1:-72,-15.65,-227.6	0/0:-1.2,-7.83,-121.1
    

    .vcf file from MELT2 "deletion" pipeline. Minimal header.

    Example 2: .bed

    Input .bed file must have 6 columns (tab-delimited). The content of columns 4-6 can be replaced by ".", 1-3 need to be the ref TE coordinates

     chr5	166877891	166878111	AluYk3	.	+
     chr20	45108615	45108923	AluY	.	-
     chr11	134147494	134147785	AluY	.	-
     chr10	102827093	102827390	AluY	.	-
     chr13	82026280	82026561	AluY	.	-
     chr15	30684990	30685283	AluYe5	.	+
     chr10	47510937	47511242	AluY	.	-
     chr8	145009005	145009305	AluYf1	.	+
     chr3	51475580	51475874	AluY	.	+
     chr4	148568483	148568788	AluY	.	+
     chr19	40498364	40498703	AluY	.	-
    

    .bed file for candidate AluY elements

  • Reference genome --ref: best to use the same file used in the original alignment.

  • sample list --aln_sample: tab delimited, 2 columns with header

    sampleId    fileId
    NA07056    NA07056.mapped.ILLUMINA.bwa.CEU.low_coverage.20101123.bam
    NA11830    NA11830.mapped.ILLUMINA.bwa.CEU.low_coverage.20101123.bam
    NA12144    NA12144.mapped.ILLUMINA.bwa.CEU.low_coverage.20101123.bam
    
  • sample path --aln_path Location of the actual .bam/.cram and their indices (.bai/.crai) are located (path to folder).

  • Repeat Masker track (provided) RepeatMasker tracks for Alu, L1 and SVA are available for hg19 and hg38 in the folder ./typeref/Resources/RepeatMasker_*_hg*.bed

2. Requirement

  • cpu: up to 1 per sample. Two steps are parallelized and Nextflow will use the available cpus to run these steps in parallel:
    • allele indexing (insgen_indexAlleles: by batches of 8 loci at a time)
    • genotyping (insgen_Genotype: by individual).
  • memory: <1Gb per cpu

3. Command line arguments

Input:
  --meltvcf       vcf/vcf.gz file preduced by MELT-DEL pipeline (Deletion-Merge command)
  or
  --bed           bed file with Reference TE coordinates/breakpoint

  --ref           reference genome used with the short-reads aligner (.fasta)
  --RM_track      RepeatMasker track for reference MEI (.bed) 
                  note: RM track for hg19 and hg38 are available in the "Resources" folder
  --aln_path      path to bam/cram directory (all samples need to be in the same directory however, 
                  the files to analyse will be only those in the aln_samples table)
  --aln_samples   two columns (tab delimited) with samples ID in column 1 and associated samples file names (.bam/.cram) in column 2. 
                  ex: NA12878  NA12878.project.blah.bam
                      NA12831  NA12831.project.blah.bam
  --maxr          maximum number of fragments mapping to each allele (cap to avoid ref allele inflation)
                  for Alu: --maxr 10 (default)
                  for LINE1 and SVA --maxr 1 is recommended

Output:
  --outdir        output directory to store results
  
Options:
  --TE            TE type to be genotyped: Alu (default) | SVA | LINE1
  --help          this message

Tips / Known Issues

  • On HPC, Nextflow and Singularity modules need to be loaded
  • Use the exact same reference genome as used for read alignments in order to avoid errors
  • Input only loci of one type of TE at a time (Alu, SVA or L1)
  • Please address you issues using the "issue" tab at the top of this page! Thank you!

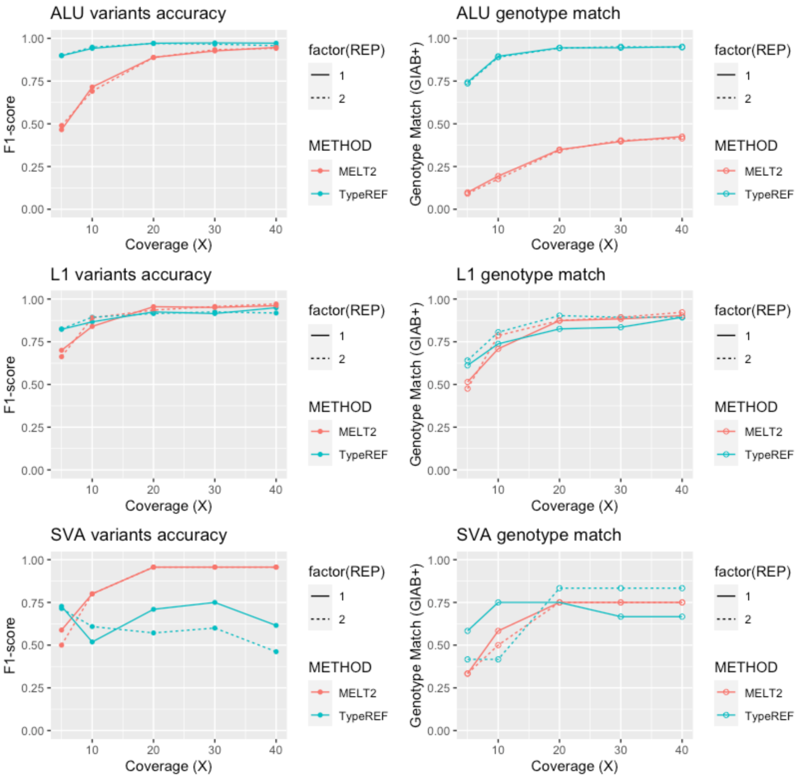
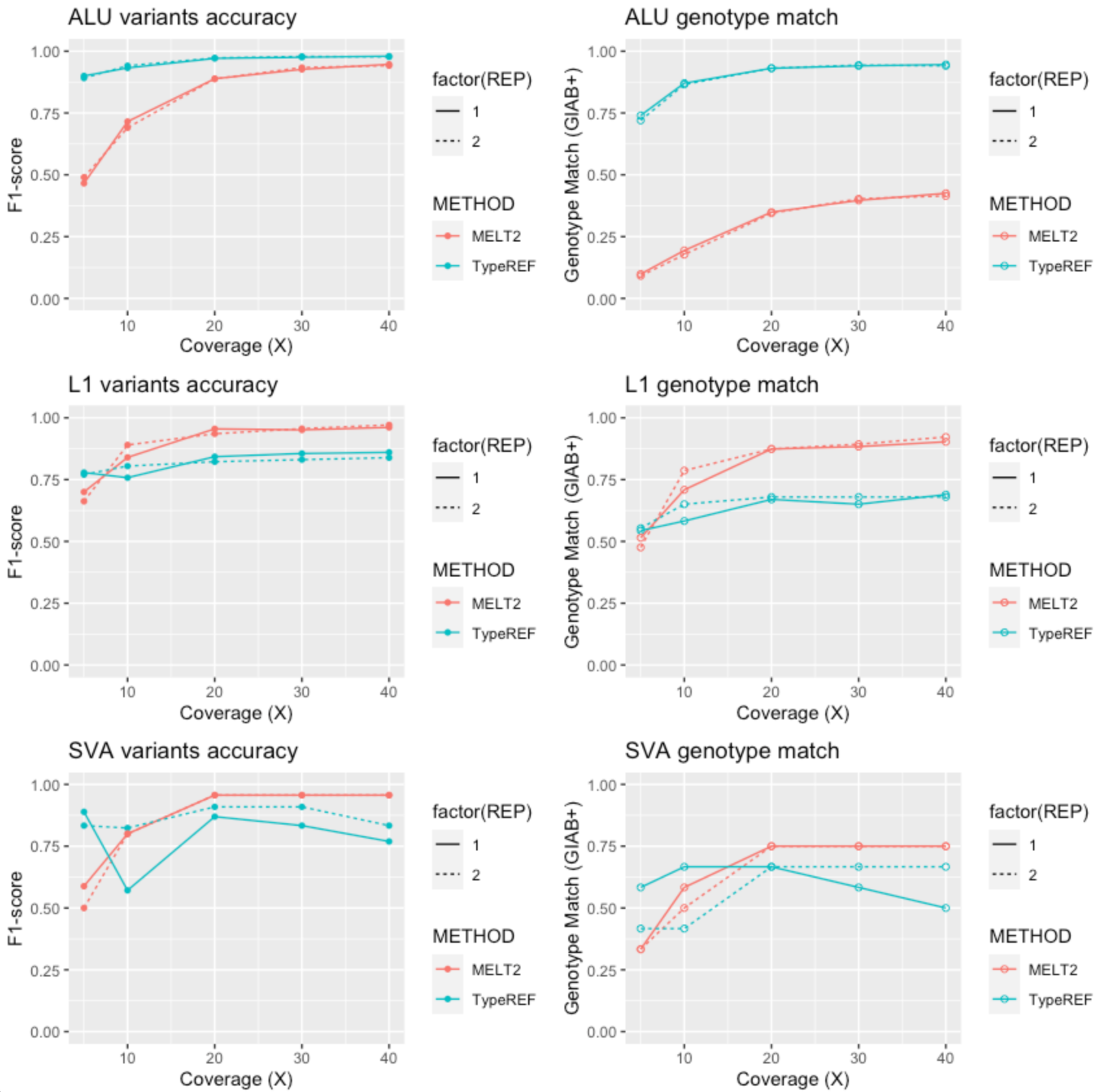
Benchmark of TypeREF with HG002/Genome in a Bottle (GIAB)

A benchmark of TypeREF has been conducted using a list of 943 Alu, 103 LINE1 and 12 SVA present in the reference build hg19 and for which HG002 shows polymorphism in the GIAB SV benchmark. Additionaly, 1000 Alu, LINE1 and SVA, not labelled as polymorphic by in HG002 by GIAB, were randomly selected to estimate the false positive rate. The results of TypeREF are compared to the outputs of MELT2 "Deletion".

The benchmark results are shown for two values of --maxr, 1 and 10. This parameter indicates the maximum number of fragments (properly alignmed read-pairs) supporting each allele (presence and absence). --maxr 10 maximises the performances for Alu, while --maxr 1 is best suited for LINE1 and SVA.

Definitions

  • Genotypes: according to the VCF format, 0 == TE presence == reference genome; 1 == TE absence == ALT
  • False positives: TypeREF calls 0/1 or 1/1 but the locus is not called by GIAB for HG002
  • False negatives: TypeREF calls 0/0 but GIAB/HG002 is 0/1 or 1/1
  • "Matching genotypes": among the true positives, does the bi-allelic genotype match between TypeREF and GIAB ? (1/1 == 1/1 or 0/1 == 0/1)

--maxr 10: suited for Alu

ALU

--maxr 1: suited for LINE1 and SVA

Note that the amount of LINE1 and SVA is very low in comparison to Alu

About

Bi-allelic genotyping of reference transposable elements

Topics

Resources

Stars

Watchers

Forks

Releases

No releases published

Packages

No packages published